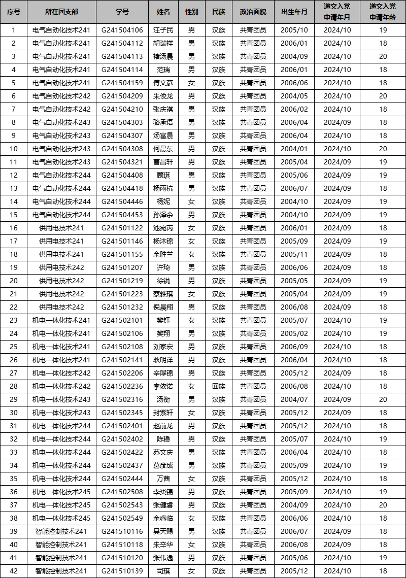
经个人申请、团组织推优,自动化工程系党支部支委会讨论研究并报全体党员大会通过,拟确定褚汤晨等42位同志为入党积极分子。根据发展党员工作要求,现对入党积极分子的基本情况予以公示。
公示时间为:2025年11月4日至11月10日(5个工作日),公示期间,若对以上同志在理想信念、政治立场、思想作风、工作学习、群众观念及廉洁自律等方面有异议,请以书面(署名)或电话形式向党支部或上级党组织反映。反映问题应实事求是、客观公正。
公示期满,将按照规定程序对上述入党积极分子进行培养考察。
自动化工程系党支部:杨军 联系电话:025-86676254
学校纪委办公室:周启国 联系电话:025-86676307
自动化工程系党支部
2025年11月4日
附:入党积极分子基本情况




